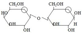
Câu 8:
Công thức bên là cấu tạo của:
1
Câu 8:
Công thức bên là cấu tạo của:

Thông tin câu hỏi
Format:
Trắc nghiệm 1 đáp án
Độ khó:
Trung bình
Môn:hoa-sinh
Cấp độ:dai-hoc
Mã đề:dai-hoc-hoa-sinh
Phần:hóa_sinh
lượt làm
Năm:2026
Tags:
#hóa sinh
Câu 8:
Công thức bên là cấu tạo của:
Câu 8:
Công thức bên là cấu tạo của:
