Câu 26:
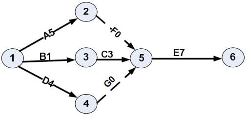
Cho sơ đồ PERT của một dự án, trong đó số viết sau tên công việc là thời gian thực hiện dự tính của công việc đó.
Và biết thêm: Thời gian lạc quan để thực hiện công việc A là 3 tuần, thời gian bi quan là 8 tuần. Vậy thời gian thường gặp khi thực hiện công việc A, là:
1
Câu 26:
Cho sơ đồ PERT của một dự án, trong đó số viết sau tên công việc là thời gian thực hiện dự tính của công việc đó.
Và biết thêm: Thời gian lạc quan để thực hiện công việc A là 3 tuần, thời gian bi quan là 8 tuần. Vậy thời gian thường gặp khi thực hiện công việc A, là:

Thông tin câu hỏi
Format:
Trắc nghiệm 1 đáp án
Độ khó:
Trung bình
Môn:quan-ly-du-an-dau-tu
Cấp độ:dai-hoc
Mã đề:dai-hoc-quan-ly-du-an-dau-tu
Phần:quản_lý_dự_án_đầu_tư
lượt làm
Năm:2026
Tags:
#quản lý dự án đầu tư
