Câu 10:
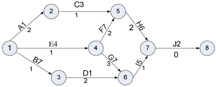
Dự án có sơ đồ PERT như sau:
Vậy dự án này có:
1
Câu 10:
Dự án có sơ đồ PERT như sau:
Vậy dự án này có:

Thông tin câu hỏi
Format:
Trắc nghiệm 1 đáp án
Độ khó:
Trung bình
Môn:quan-ly-du-an-dau-tu
Cấp độ:dai-hoc
Mã đề:dai-hoc-quan-ly-du-an-dau-tu
Phần:quản_lý_dự_án_đầu_tư
lượt làm
Năm:2026
Tags:
#quản lý dự án đầu tư
