Câu 30:
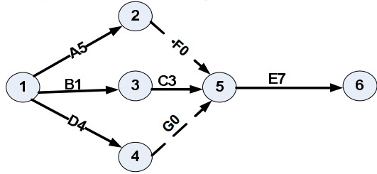
Cho sơ đồ PERT của một dự án, trong đó số viết sau tên công việc là thời gian thực hiện dự tính của công việc đó. Và biết thêm: Thời gian lạc quan để thực hiện công việc A là 3 tuần, thời gian bi quan là 8 tuần. Vậy thời gian thường gặp khi thực hiện công việc A, là:
1
Câu 30:
Cho sơ đồ PERT của một dự án, trong đó số viết sau tên công việc là thời gian thực hiện dự tính của công việc đó. Và biết thêm: Thời gian lạc quan để thực hiện công việc A là 3 tuần, thời gian bi quan là 8 tuần. Vậy thời gian thường gặp khi thực hiện công việc A, là:

Thông tin câu hỏi
Format:
Trắc nghiệm 1 đáp án
Độ khó:
Trung bình
Môn:quan-tri-du-an
Cấp độ:dai-hoc
Mã đề:dai-hoc-quan-tri-du-an
Phần:quản_trị_dự_án
lượt làm
Năm:2026
Tags:
#quản trị dự án
