Câu 14:
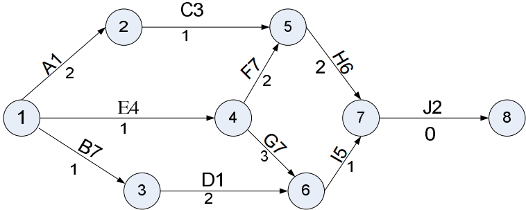
Dự án có sơ đồ PERT như sau:
Vậy dự án này có:
1
Câu 14:
Dự án có sơ đồ PERT như sau:
Vậy dự án này có:

Thông tin câu hỏi
Format:
Trắc nghiệm 1 đáp án
Độ khó:
Trung bình
Môn:quan-tri-du-an
Cấp độ:dai-hoc
Mã đề:dai-hoc-quan-tri-du-an
Phần:quản_trị_dự_án
lượt làm
Năm:2026
Tags:
#quản trị dự án
