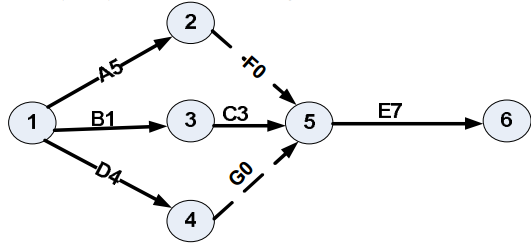
Câu 2:
Căn cứ vào sơ đồ dưới đây, hãy chọn câu sai trong 4 câu sau:
1
Câu 2:
Căn cứ vào sơ đồ dưới đây, hãy chọn câu sai trong 4 câu sau:

Thông tin câu hỏi
Format:
Trắc nghiệm 1 đáp án
Độ khó:
Trung bình
Môn:quan-tri-du-an
Cấp độ:dai-hoc
Mã đề:dai-hoc-quan-tri-du-an
Phần:quản_trị_dự_án
lượt làm
Năm:2026
Tags:
#quản trị dự án
