Câu 26:
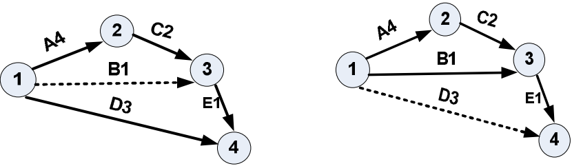
Cho nội dung dự án “ĐÀO AO THẢ CÁ” và sơ đồ PERT “Đào ao (ký hiệu: A), tiến hành ngay từ đầu với thời hạn 4 tuần. Tìm nguồn và hợp đồng mua cá giống (B), 1 tuần bắt đầu ngay. Kè bờ ao (C), 2 tuần sau đào ao. Làm tường rào bao quanh (D), 3 tuần bắt đầu ngay. Rửa ao, nhận cá giống và thả cá (E), 1 tuần sau kè bờ ao và tìm nguồn, hợp đồng mua cá giống:
1
Câu 26:
Cho nội dung dự án “ĐÀO AO THẢ CÁ” và sơ đồ PERT “Đào ao (ký hiệu: A), tiến hành ngay từ đầu với thời hạn 4 tuần. Tìm nguồn và hợp đồng mua cá giống (B), 1 tuần bắt đầu ngay. Kè bờ ao (C), 2 tuần sau đào ao. Làm tường rào bao quanh (D), 3 tuần bắt đầu ngay. Rửa ao, nhận cá giống và thả cá (E), 1 tuần sau kè bờ ao và tìm nguồn, hợp đồng mua cá giống:

Thông tin câu hỏi
Format:
Trắc nghiệm 1 đáp án
Độ khó:
Trung bình
Môn:quan-tri-du-an
Cấp độ:dai-hoc
Mã đề:dai-hoc-quan-tri-du-an
Phần:quản_trị_dự_án
lượt làm
Năm:2026
Tags:
#quản trị dự án
