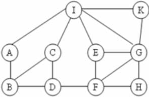
Câu 11:
Cho đồ thị như hình vẽ. Kết quả khi duyệt đồ thị theo thuật toán BFS(I) là:
1
Câu 11:
Cho đồ thị như hình vẽ. Kết quả khi duyệt đồ thị theo thuật toán BFS(I) là:

Thông tin câu hỏi
Format:
Trắc nghiệm 1 đáp án
Độ khó:
Trung bình
Môn:toan-roi-rac
Cấp độ:dai-hoc
Mã đề:dai-hoc-toan-roi-rac
Phần:toán_rời_rạc
lượt làm
Năm:2026
Tags:
#toán rời rạc
