Câu 6:
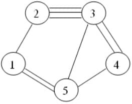
Cho đồ thị G = (V,E) vô hướng. Bậc của các đỉnh 1, 2, 3, 4, 5 tương ứng là:
1
Câu 6:
Cho đồ thị G = (V,E) vô hướng. Bậc của các đỉnh 1, 2, 3, 4, 5 tương ứng là:

Thông tin câu hỏi
Format:
Trắc nghiệm 1 đáp án
Độ khó:
Trung bình
Môn:toan-roi-rac
Cấp độ:dai-hoc
Mã đề:dai-hoc-toan-roi-rac
Phần:toán_rời_rạc
lượt làm
Năm:2026
Tags:
#toán rời rạc
