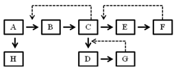
Câu 37:
Sơ đồ dưới đây mô tả con đường chuyển hóa giả định, mũi tên chấm gạch chỉ sự ức chế ngược. Nếu chất G và F dư thừa thì trong tế bào, nồng độ chất nào sẽ gia tăng một cách bất thường?
1
Câu 37:
Sơ đồ dưới đây mô tả con đường chuyển hóa giả định, mũi tên chấm gạch chỉ sự ức chế ngược. Nếu chất G và F dư thừa thì trong tế bào, nồng độ chất nào sẽ gia tăng một cách bất thường?

Thông tin câu hỏi
Format:
Trắc nghiệm 1 đáp án
Độ khó:
Trung bình
Môn:sinh-hoc
Cấp độ:lop-10
Mã đề:lop-10-sinh-hoc
Phần:sinh_học
lượt làm
Năm:2026
Tags:
#sinh học
