Câu 36:
Cho biết: Giả sử lưới thức ăn trong một hệ sinh thái gồm các loài sinh vật A, B, C, D, E, F, G, H, I, K, L, M, N được mô tả bằng sơ đồ hình bên. Cho biết loài A là sinh vật sản xuất. Phân tích lưới thức ăn này, có bao nhiêu phát biểu sau đây đúng?
I. Lưới thức ăn này chỉ có một loại chuỗi thức ăn.
II. Hiệu suất sinh thái trong lưới thức ăn này là khá cao.
III. Loài H và loài M cùng thuộc một bậc dinh dưỡng.
IV. Loài G và loài L có ổ sinh thái trùng nhau một phần.
Câu 36:
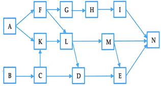
Cho biết: Giả sử lưới thức ăn trong một hệ sinh thái gồm các loài sinh vật A, B, C, D, E, F, G, H, I, K, L, M, N được mô tả bằng sơ đồ hình bên. Cho biết loài A là sinh vật sản xuất. Phân tích lưới thức ăn này, có bao nhiêu phát biểu sau đây đúng?
I. Lưới thức ăn này chỉ có một loại chuỗi thức ăn.
II. Hiệu suất sinh thái trong lưới thức ăn này là khá cao.
III. Loài H và loài M cùng thuộc một bậc dinh dưỡng.
IV. Loài G và loài L có ổ sinh thái trùng nhau một phần.

