Câu 24:
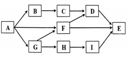
Giả sử lưới thức ăn sau đây gồm các loài sinh vật được kí hiệu: A, B, C, D, E, F, G, H, I. Cho biết loài A là sinh vật sản xuất và loài E là sinh vật tiêu thụ bậc cao nhất. Có bao nhiêu phát biểu sau đây đúng?
I. Lưới thức ăn này có tối đa 5 chuỗi thức ăn.
II. Có 2 loài tham gia vào tất cả các chuỗi thức ăn.
III. Loài D có thể thuộc bậc dinh dưỡng cấp 3 hoặc cấp 4.
IV. Loài F tham gia vào nhiều chuỗi thức ăn hơn loài G
Câu 24:
Giả sử lưới thức ăn sau đây gồm các loài sinh vật được kí hiệu: A, B, C, D, E, F, G, H, I. Cho biết loài A là sinh vật sản xuất và loài E là sinh vật tiêu thụ bậc cao nhất. Có bao nhiêu phát biểu sau đây đúng?
I. Lưới thức ăn này có tối đa 5 chuỗi thức ăn.
II. Có 2 loài tham gia vào tất cả các chuỗi thức ăn.
III. Loài D có thể thuộc bậc dinh dưỡng cấp 3 hoặc cấp 4.
IV. Loài F tham gia vào nhiều chuỗi thức ăn hơn loài G

