Câu 27:
Cho biết: Giả sử lưới thức ăn trong một hệ sinh thái gồm các loài sinh vật A, B, C, D, E, F, G,H, I được mô tả bằng sơ đồ hình bên. Cho biết loài A và G là sinh vật sản xuất và các loài còn lại đều là sinh vật tiêu thụ. Phân tích lưới thức ăn này, có bao nhiêu phát biểu sau đây đúng?
I. Có 2 chuỗi thức ăn gồm 5 mắt xích.
II. Loài F tham gia vào nhiều chuỗi thức ăn hơn loài D.
III. Loài F và I có sự trùng lặp ổ sinh thái.
IV. Loài D chắc chắn là vi sinh vật.
Có bao nhiêu phát biểu sau đây đúng?
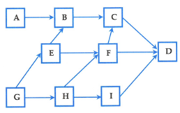
Câu 27:
Cho biết: Giả sử lưới thức ăn trong một hệ sinh thái gồm các loài sinh vật A, B, C, D, E, F, G,H, I được mô tả bằng sơ đồ hình bên. Cho biết loài A và G là sinh vật sản xuất và các loài còn lại đều là sinh vật tiêu thụ. Phân tích lưới thức ăn này, có bao nhiêu phát biểu sau đây đúng?
I. Có 2 chuỗi thức ăn gồm 5 mắt xích.
II. Loài F tham gia vào nhiều chuỗi thức ăn hơn loài D.
III. Loài F và I có sự trùng lặp ổ sinh thái.
IV. Loài D chắc chắn là vi sinh vật.
Có bao nhiêu phát biểu sau đây đúng?

