Câu 32:
Một lưới thức gồm có 9 loài được mô tả như hình bên. Theo lí thuyết, có bao nhiêu phát biểu sau đây đúng?
I. Có 15 chuỗi thức ăn.
II. Chuỗi thức ăn dài nhất có 6 mắt xích.
III. Nếu loài K bị tuyệt diệt thì loài lưới thức ăn này có tối đa 7 loài.
IV. Nếu loài E bị con người đánh bắt làm giảm số lượng thì loài M sẽ tăng số lượng
1
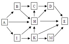
Câu 32:
Một lưới thức gồm có 9 loài được mô tả như hình bên. Theo lí thuyết, có bao nhiêu phát biểu sau đây đúng?
I. Có 15 chuỗi thức ăn.
II. Chuỗi thức ăn dài nhất có 6 mắt xích.
III. Nếu loài K bị tuyệt diệt thì loài lưới thức ăn này có tối đa 7 loài.
IV. Nếu loài E bị con người đánh bắt làm giảm số lượng thì loài M sẽ tăng số lượng

Thông tin câu hỏi
Format:
Trắc nghiệm 1 đáp án
Độ khó:
Trung bình
Môn:sinh-hoc
Cấp độ:thpt
Mã đề:thpt-sinh-hoc
Phần:sinh_học
lượt làm
Năm:2022
Tags:
#sinh học
