Câu 32:
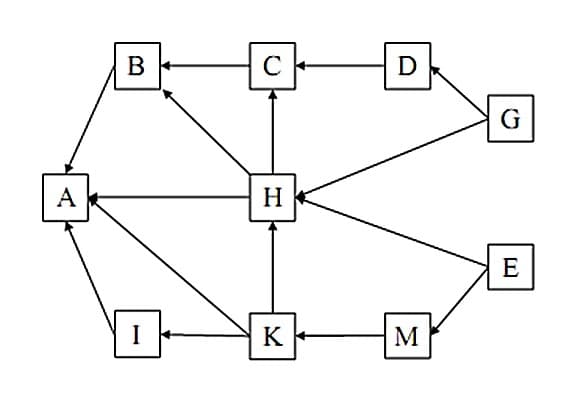
Một lưới thức ăn gồm 10 loài được mô tả như hình dưới
Theo lý thuyết, có bao nhiêu phát biểu sau đây đúng?
I. Loài H tham gia vào ít chuỗi thức ăn hơn loài E.
II. Chuỗi thức ăn ngắn nhất có ba mắt xích.
III. Nếu loài K bị tuyệt diệt thì lưới thức ăn này chỉ còn lại 8 chuỗi thức ăn.
IV. Loài E có thể là một loài động vật không xương sống.
1
Câu 32:
Một lưới thức ăn gồm 10 loài được mô tả như hình dưới
Theo lý thuyết, có bao nhiêu phát biểu sau đây đúng?
I. Loài H tham gia vào ít chuỗi thức ăn hơn loài E.
II. Chuỗi thức ăn ngắn nhất có ba mắt xích.
III. Nếu loài K bị tuyệt diệt thì lưới thức ăn này chỉ còn lại 8 chuỗi thức ăn.
IV. Loài E có thể là một loài động vật không xương sống.

Thông tin câu hỏi
Format:
Trắc nghiệm 1 đáp án
Độ khó:
Trung bình
Môn:sinh-hoc
Cấp độ:thpt
Mã đề:thpt-sinh-hoc
Phần:sinh_học
lượt làm
Năm:2022
Tags:
#sinh học
