Câu 28:
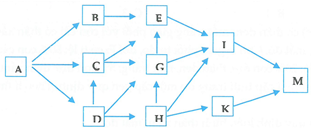
Xét một lưới thức ăn như sau:
Có bao nhiêu phát biểu sau đây đúng?
I. Chuỗi thức ăn ngắn nhất có 4 mắt xích.
II. Quan hệ giữa loài I và loài K là quan hệ cạnh tranh khác loài.
III. Nếu hệ sinh thái trên bị nhiễm độc thì loài bị nhiễm chất độc nặng nhất là loài M.
IV. Nếu loài M bị tuyệt diệt thì loài E sẽ tăng số lượng cá thể.
1
Câu 28:
Xét một lưới thức ăn như sau:
Có bao nhiêu phát biểu sau đây đúng?
I. Chuỗi thức ăn ngắn nhất có 4 mắt xích.
II. Quan hệ giữa loài I và loài K là quan hệ cạnh tranh khác loài.
III. Nếu hệ sinh thái trên bị nhiễm độc thì loài bị nhiễm chất độc nặng nhất là loài M.
IV. Nếu loài M bị tuyệt diệt thì loài E sẽ tăng số lượng cá thể.

Thông tin câu hỏi
Format:
Trắc nghiệm 1 đáp án
Độ khó:
Trung bình
Môn:sinh-hoc
Cấp độ:thpt
Mã đề:thpt-sinh-hoc
Phần:sinh_học
lượt làm
Năm:2022
Tags:
#sinh học
