Câu 22:
Lưới thức ăn bên đây được coi là lưới thức ăn điển hình ở một quần xã trên cạn. Cho các nhận định:
(1) Xét về khía cạnh hiệu suất sinh thái, tổng sinh khối của loài C và D có lẽ thấp hơn so với tổng loài A và B
(2) Loài A và B chắc chắn là các sinh vật sản xuất chính trong quần xã kể trên.
(3) Sự diệt vong của loài C làm gia tăng áp lực cạnh tranh trong nội bộ loài H.
(4) Sự diệt vong loài C và D khiển cho quần xã bị mất tới 66,7% số loài.
Số nhận định KHÔNG chính xác:
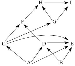
Câu 22:
Lưới thức ăn bên đây được coi là lưới thức ăn điển hình ở một quần xã trên cạn. Cho các nhận định:
(1) Xét về khía cạnh hiệu suất sinh thái, tổng sinh khối của loài C và D có lẽ thấp hơn so với tổng loài A và B
(2) Loài A và B chắc chắn là các sinh vật sản xuất chính trong quần xã kể trên.
(3) Sự diệt vong của loài C làm gia tăng áp lực cạnh tranh trong nội bộ loài H.
(4) Sự diệt vong loài C và D khiển cho quần xã bị mất tới 66,7% số loài.
Số nhận định KHÔNG chính xác:

