Câu 32:
Một lưới thức ăn gồm các loài sinh vật được mô tả ở hình bên. Cho biết loài A và loài B là sinh vật sản xuất, các loài còn lại là sinh vật tiêu thụ. Theo lí thuyết, có bao nhiêu phát biểu sau đây đúng về lưới thức ăn này?
I. Các loài C, G, F, D thuộc cùng một bậc dinh dưỡng.
II. Nếu loài E bị loại bỏ hoàn toàn khỏi quần xã thì số lượng cá thể của loài F chắc chắn tăng lên.
III. Lưới thức ăn này có 7 chuỗi thức ăn.
IV. Số chuỗi thức ăn mà loài M tham gia bằng số chuỗi thức ăn mà loài B tham gia.
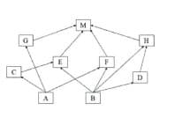
Câu 32:
Một lưới thức ăn gồm các loài sinh vật được mô tả ở hình bên. Cho biết loài A và loài B là sinh vật sản xuất, các loài còn lại là sinh vật tiêu thụ. Theo lí thuyết, có bao nhiêu phát biểu sau đây đúng về lưới thức ăn này?
I. Các loài C, G, F, D thuộc cùng một bậc dinh dưỡng.
II. Nếu loài E bị loại bỏ hoàn toàn khỏi quần xã thì số lượng cá thể của loài F chắc chắn tăng lên.
III. Lưới thức ăn này có 7 chuỗi thức ăn.
IV. Số chuỗi thức ăn mà loài M tham gia bằng số chuỗi thức ăn mà loài B tham gia.

