Câu 36:
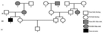
Cho sơ đồ phả hệ sau:
Cặp vợ chồng III-2 và III-3 sinh ra một đứa con trai bình thường. Xác suất để đứa con trai này không mang alen gây bệnh là:
1
Câu 36:
Cho sơ đồ phả hệ sau:
Cặp vợ chồng III-2 và III-3 sinh ra một đứa con trai bình thường. Xác suất để đứa con trai này không mang alen gây bệnh là:

Thông tin câu hỏi
Format:
Trắc nghiệm 1 đáp án
Độ khó:
Trung bình
Môn:sinh-hoc
Cấp độ:thpt
Mã đề:thpt-sinh-hoc
Phần:sinh_học
lượt làm
Năm:2022
Tags:
#sinh học
