Câu 31:
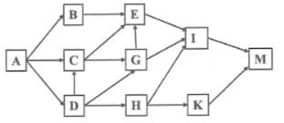
Xét một lưới thức ăn như hình dưới đây:
Trong số các phát biểu dưới đây, phát biểu nào đúng?
1
Câu 31:
Xét một lưới thức ăn như hình dưới đây:
Trong số các phát biểu dưới đây, phát biểu nào đúng?

Thông tin câu hỏi
Format:
Trắc nghiệm 1 đáp án
Độ khó:
Trung bình
Môn:sinh-hoc
Cấp độ:thpt
Mã đề:thpt-sinh-hoc
Phần:sinh_học
lượt làm
Năm:2022
Tags:
#sinh học
