Câu 39:
Giả sử lưới thức ăn trong một hệ sinh thái gồm các loài sinh vật A, B, C, D, E, F, G, H, I được mô tả bằng sơ đồ hình bên. Cho biết loài A và G là sinh vật sản xuất, các loài còn lại đều là sinh vật tiêu thụ. Phân tích lưới thức ăn này, có bao nhiêu phát biểu sau đây đúng?
I. Có 8 chuỗi thức ăn khác nhau.
II. Loài B tham gia vào nhiều chuỗi thức ăn hơn so với loài F.
III. Loài E thuộc 3 bậc dinh dưỡng khác nhau.
IV. Lượng chất độc mà loài F tích lũy được cao hơn loài C.
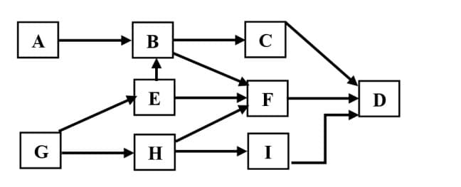
Câu 39:
Giả sử lưới thức ăn trong một hệ sinh thái gồm các loài sinh vật A, B, C, D, E, F, G, H, I được mô tả bằng sơ đồ hình bên. Cho biết loài A và G là sinh vật sản xuất, các loài còn lại đều là sinh vật tiêu thụ. Phân tích lưới thức ăn này, có bao nhiêu phát biểu sau đây đúng?
I. Có 8 chuỗi thức ăn khác nhau.
II. Loài B tham gia vào nhiều chuỗi thức ăn hơn so với loài F.
III. Loài E thuộc 3 bậc dinh dưỡng khác nhau.
IV. Lượng chất độc mà loài F tích lũy được cao hơn loài C.

